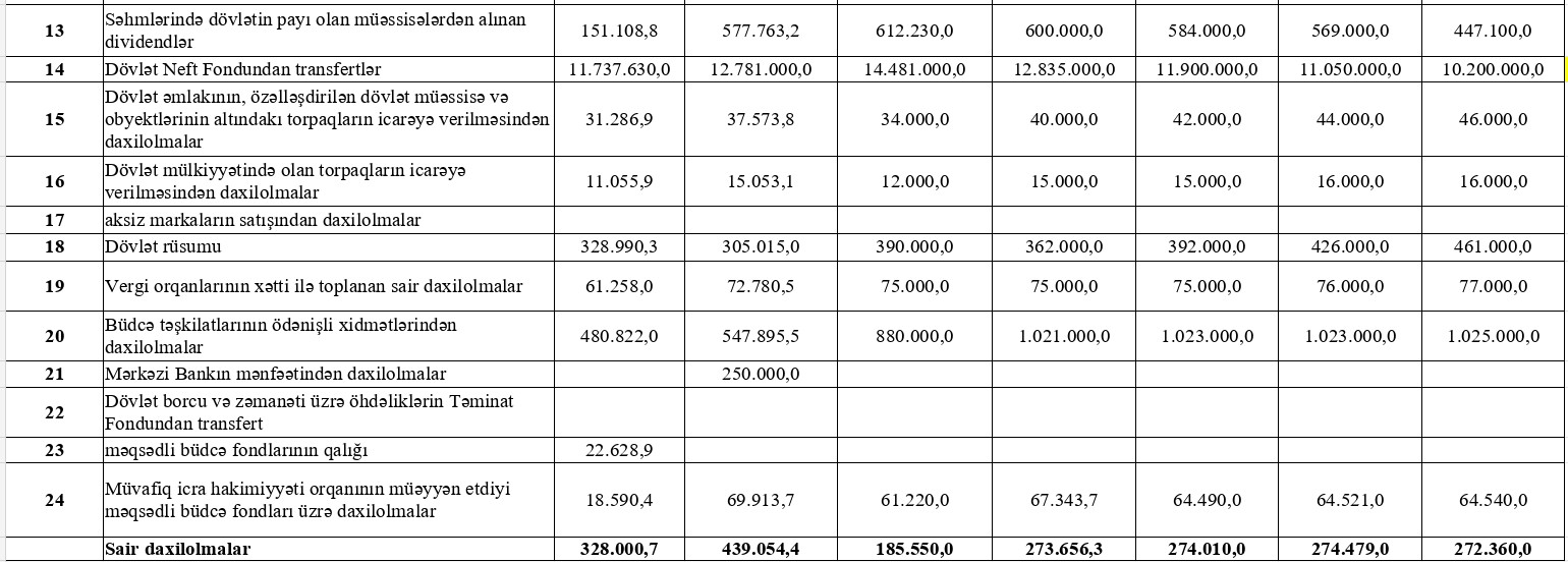
Qeyri-vergi gəlirləri 2025-də pikə çatdıqdan sonra aşağı düşəcək - Vergi gəlirləriı üzrə kəskin artım nəzərdə tutulur
Azərbaycan büdcəsinin gəlirləri 2029-cu ilə qədər 40 milyard 103 milyard manata yüksələcək — artım vergi daxilolmalarının hesabına baş verirAzərbaycanın dövlət büdcəsinin gəlirləri 2023–2029-cu illər aralığında sabit artım göstərəcək.
Marja.az rəsmi proqnozlara istinadən xəbər verir ki, 2023-cü ildə 35 milyard 236 milyon manat olan ümumi gəlirlər 2029-cu ilə qədər 40 milyard 103 milyon manata çatacaq — bu, təxminən 4 milyard 867 milyon manatlıq artım və təxminən 13.8% artım deməkdir.
Vergi gəlirləri
Vergi daxilolmaları proqnozları üzrə daha kəskin artım nəzərdə tutulub. 2023-cü ildə 20 milyard 262 milyon manat olan vergi gəlirləri 2029-cu ildə 25 milyard 461 milyon manata çatacaq. Bu, təxminən 5 milyard 199 milyon manat artım və təxminən 25.7% artımı göstərir — yəni büdcə gəlirlərindəki ümumi artımın əsas hissəsi vergi bazasının genişlənməsindən gəlir.
İqtisadi ekspertlər vergi daxilolmalarındakı bu sıçrayışı vergi inzibatçılığının təkmilləşdirilməsi, rəqəmsallaşmanın genişləndirilməsi və kölgə iqtisadiyyatının azaldılması ilə əlaqələndirirlər.
Qeyri-vergi gəlirləri: 2025-ci ildə pik, sonra azalmalar
Qeyri-vergi gəlirləri 2023-cü ildə 14 milyard 974 milyon manat olub və 2025-ci ildə 18 milyard 709 milyon manat səviyyəsində pik həddə çatır. Lakin 2025–2029 dövründə ardıcıl azalma proqnozlaşdırılır — 2029-cu ildə qeyri-vergi gəlirləri 14 milyard 642 milyon manata geriləyəcək.
Bu, pikinin (2025) 2029-a nisbətən təxminən 4 milyard 67 milyon manatlıq, yəni təxminən 21.7% azalma deməkdir.
Bu dinamika dövlət müəssisələrinin dividendlərində, sərbəst aktivləşmələrdə və digər qeyri-vergi mənbələrində qeydə alınan dəyişikliklərlə izah edilə bilər.
İllər üzrə əsas göstəricilər (milyon / milyard manatla)

Vergi bazasının güclənməsi. Proqnozlar göstərir ki, vergilər büdcənin əsas gəlir mənbəyi olaraq daha da önə çıxacaq. Bu, fiskal dayanıqlığı artırsa da, büdcənin vergi mənbələrindən daha çox asılı hala gəlməsi riskini də artırır. Bu səbəbdən hökumətin vergi siyasətində balansı qoruması — həm toplanmanı artırmaq, həm də iqtisadi subyektlərə yükləri optimallaşdırmaq — vacibdir.
Qeyri-vergi gəlirlərinin enişi. Qeyri-vergi gəlirləri 2025-ci ildə pikə çatdıqdan sonra aşağı düşür; bu, dövlət müəssisələrindən daxilolmaların, dividendlərin və digər qeyri-vergi mənbələrinin əvvəlki səviyyələrdə davam etməməsi ilə bağlıdır. Nəticədə, büdcədə gəlir strukturu daha çox vergi yönümlü olacaq.
Mümkün risklər. Vergi daxilolmalarının artımı iqtisadi dövrilikdən təsirlənə bilər — tərs iqtisadi şoklar zamanı vergi gəlirlərində kəskin enmələr büdcə tarazlığını çətinləşdirə bilər. Qeyri-vergi mənbələrinin azalması bu riskləri daha da gücləndirir.
Tövsiyələr
Dövlət müəssisələrinin gəlirliliyini artırmağa yönəlmiş struktur islahatları sürətləndirilməlidir.
Vergi inzibatçılığı ilə yanaşı, vergi yükünün ədalətli və rəqabətqabiliyyətli saxlanılması vacibdir.
Büdcə gəlirləri şaxələndirilməli — qeyri-neft, xidmət və rəqəmsal iqtisadiyyatdan əlavə gəlirlər prioritetləşdirilməlidir.
Nəticə
Rəsmi proqnozlar 2023–2029 illər üçün büdcə gəlirlərində müsbət dinamikanı göstərir — ümumi gəlirlər 35 milyard 236 milyon manatdan 40 milyard 103 milyon manata yüksələcək. Lakin bu artımın təməlində əsasən vergi daxilolmaları dayanır; qeyri-vergi gəlirlərində isə pikdən sonra azalma gözlənilir. Bu mənzərə dövlətin fiskal strategiyasını daha ehtiyatlı və diversifikasiyaedici yanaşmaya sövq edir.
Müştərilərin xəbərləri
“McDonald's Azərbaycan” “Uşaqların Sağlam Gələcəyi” reabilitasiya mərkəzinə tibbi avadanlıq təqdim edib - FOTO
SON XƏBƏRLƏR
- 1 ay sonra
- 1 həftə sonra
- 21 d. əvvəl
-
- 29 d. əvvəl
- 38 d. əvvəl
-
49 d. əvvəl
Bank of Baku-da işçilərin sayı ötən ilin ikinci yarısında sürətlə artıb
-
1 saat əvvəl
"PAŞA Həyat"ın əməkdaşları Uşaq Evini ziyarət ediblər - FOTOLAR
-
1 saat əvvəl
Onlayn kredit istifadəsində yeni tendensiya: Aylıq ödəniş hesablaması ön planda
- 1 saat əvvəl
- 1 saat əvvəl
-
1 saat əvvəl
“Diadem” şirkətinin mənfəətinin bölüşdürülməsi barədə qərar qəbul ediləcək
-
1 saat əvvəl
“Mərmər İnşaat”ın mənfəətinin bölüşdürülməsi barədə qərar qəbul ediləcək
Son Xəbərlər
Azvak.az-da yeni iş elanları
55 manatdan bank səhmdarı olmaq fürsəti: SON 14 GÜN
Trampın imzası üçün geri sayım
Tarixin ən böyük ilkin kütləvi təklifində hədəf kiçildilib
İlqar Əliyev “Azfinans”ı satıb
AZAL tərəfindən 8 yeni təyyarənin alınması planlaşdırılır
BOKT 11 milyon 550 min manat dividend elan edib
BOKT borc satışından 44,8 milyon manat zərər edib
Kredit portfeli yarıbayarı kiçilib, 44,8 milyon manatlıq zərər mənfəətini aşağı salıb
Xərclərini sıfıra endir! Qızmar yayda pulunu yandırma






.jpg)
.jpg)



.jpg)




.jpg)









